産品分(fēn)類(lèi)
PRODUCT LIST
潤滑油(yóu)及(jí)金(jīn)屬加工
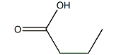
您当前的(de)位(wèi)置:首页(yè) > 潤滑油(yóu)及(jí)金(jīn)屬加工| 産品名(míng)称 | 正(zhèng)丁酸(suān) |
| 中(zhōng)文(wén)别称: | 殺滅菊酸(suān);天(tiān)然丁酸(suān);酪酸(suān);乙基乙酸(suān) |
| 英文(wén)名(míng)称: | N-Butyric Acid |
| CAS No.: | 107-92-6 |
| 分(fēn)子式: | C4H8O2 |
| 産品介紹: |
無色(sè)油(yóu)狀液體(tǐ),具有(yǒu)刺激性(xìng)及(jí)難聞的(de)气(qì)味。 能(néng)與(yǔ)水(shuǐ)、乙醇和(hé)乙醚混溶。 用(yòng)于(yú)飼料添加劑、香(xiāng)精香(xiāng)料、食品添加劑、醫藥、阻燃劑、防黴劑等领域。 |
| 結構式: | ![]() |
| 包(bāo)裝(zhuāng): | 195KG/桶(tǒng) or 950KG/桶(tǒng) |
| 産品縮略图(tú): |


.png)

微信(xìn)客服(fú)